Вернуться к содержанию учебника
Упражнения § 8. Страница 64
246 247 248 249 250 251 252 253 254 255 256
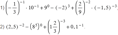
Найдите значение выражения:
Вспомните: