Вернуться к содержанию учебника
Упражнения § 7. Страница 57
207 208 209 210 211 212 213 214 215 216 217
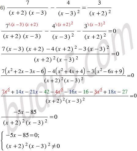
Решите уравнение:
Вспомните: