Алгоритм решения системы линейных уравнений методом сложения:
1) подобрав "выгодные" множители (если это необходимо), преобразовать одно или оба уравнения системы так, чтобы коэффициенты при одной из переменных стали противоположными числами;
2) сложить почленно левые и правые части уравнений, полученных на первом шаге;
3) решить уравнение с одной переменной, полученное на втором шаге;
4) подставить найденное на третьем шаге значение переменной в любое из уравнений исходной системы;
5) вычислить значение другой переменной;
6) записать ответ.
Пример 1:
Решите систему уравнений методом сложения:

Решение:
В исходной системе коэффициенты при переменной
- противоположные числа, значит, можно получить уравнение с одной переменной, сложив почленно левые и правые части уравнений системы:

В левой части полученного уравнения приводим подобные слагаемые, учитывая то, что сумма противоположных чисел равна нулю, получаем:

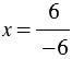
Мы получили линейное уравнение, которое имеет единственный корень
или, разделив числитель на знаменатель, 
Подставим найденное значение переменной
в любое из уравнений системы, например в первое. Получим:

Перенесем слагаемое 10 из левой части уравнения в правую, изменив при этом его знак:
или 
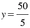
Мы получили линейное уравнение, которое имеет единственный корень:
или, разделив числитель на знаменатель, 
Пара чисел (
1; 10) - искомое решение системы.
Обратите внимание, при записи решения системы в скобках на первом месте пишут значение
, на втором - значение
.
Пример 2:
Решите систему уравнений методом сложения:

Решение:
Если мы сложим почленно левые и правые части уравнений системы, то у нас получится уравнение с двумя переменными. Следовательно, исходную систему еще нельзя решить методом сложения.
Умножим обе части первого уравнения на
4. Получим систему, решения которой совпадают с решениями исходной системы:

Для такой системы метод сложения уже будет эффективным, т.к. коэффициенты при переменной
- противоположные числа, значит, можно получить уравнение с одной переменной, сложив почленно левые и правые части уравнений системы:

В левой части полученного уравнения приводим подобные слагаемые, учитывая то, что сумма противоположных чисел равна нулю, получаем:

Мы получили линейное уравнение, которое имеет единственный корень:
или, разделив числитель на знаменатель, 
Подставим найденное значение переменной
в любое из уравнений системы, например в первое. Получим:
или, выполнив умножение, 
Перенесем слагаемое 4 из левой части уравнения в правую, изменив при этом его знак:
или 
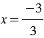
Мы получили линейное уравнение, которое имеет единственный корень:
или, раздели числитель на знаменатель, 
Пара чисел (
1;
2) - искомое решение системы.
Линейное уравнение с двумя переменными и его график
Решение систем линейных уравнений методом подстановки
Решение задач с помощью систем линейных уравнений
Линейное уравнение с одной переменной
Решение задач с помощью уравнений
Тождественно равные выражения. Тождества
Степень с натуральным показателем
Свойства степени с натуральным показателем
Сложение и вычитание многочленов
Умножение одночлена на многочлен
Умножение многочлена на многочлен
Разложение многочленов на множители
Формулы сокращенного умножения
Квадратные корни. Дейстительные числа
Системы линейных уравнений с двумя переменными
Элементы математической логики
7 класс
Номер 1048, Мерзляк, Полонский, Якир, Учебник
Номер 1053, Мерзляк, Полонский, Якир, Учебник
Номер 1081, Мерзляк, Полонский, Якир, Учебник
Номер 1104, Мерзляк, Полонский, Якир, Учебник
Номер 1113, Мерзляк, Полонский, Якир, Учебник
Номер 1115, Мерзляк, Полонский, Якир, Учебник
Номер 1222, Мерзляк, Полонский, Якир, Учебник
Номер 1223, Мерзляк, Полонский, Якир, Учебник
Номер 1230, Мерзляк, Полонский, Якир, Учебник
Номер 4, Мерзляк, Полонский, Якир, Учебник
8 класс
Номер 91, Мерзляк, Полонский, Якир, Учебник
Номер 134, Мерзляк, Полонский, Якир, Учебник
Номер 347, Мерзляк, Полонский, Якир, Учебник
Номер 420, Мерзляк, Полонский, Якир, Учебник
Номер 435, Мерзляк, Полонский, Якир, Учебник
Номер 488, Мерзляк, Полонский, Якир, Учебник
Номер 577, Мерзляк, Полонский, Якир, Учебник